2016年湖南成人高考高起点数学(文)真题及参考
2016年湖南成人高考高起点数学(文)真题及参考答案
本试卷第Ⅰ卷(选择题)和第Ⅱ卷(费选择题)两部分,共4页,时间120分钟。考试结束后,将本试卷和答题卡一并交回。
本试卷第Ⅰ卷(选择题)和第Ⅱ卷(费选择题)两部分,共4页,时间120分钟。考试结束后,将本试卷和答题卡一并交回。
注意事项:
1、答题前,考生务必先在答题卡上讲姓名、座号、准考证号填写清楚……的准考证号、姓名、考场号和座号。
2、在答第Ⅰ卷时,用2B铅笔将答题卡对应题目的答案标号涂黑,修改时用其他答案。答案不能答在试卷上。
3、在答第Ⅱ卷时必须使用0.5毫米的黑色签字笔作答,答案必须写在答题卡上,不能写在试卷上;如需改动,先划掉原来的答案,然后再写上新的答案,不能用胶带纸和修正带。不按以上要求作答的答案无效。
4、如需作图,考生应先用铅笔绘图,确认无误后,用0.5毫米的黑色签字笔再描一遍。
5、本试卷中,tanα表示角α的正切,cosα表示角α的余切。
第Ⅰ卷(选择题,共85分)
一、选择题:本大题共17小题,每小题5分,共85分。在每小题给出的四个选项中,只有一个选项是符合题目要求的。
(1)设集合A={0,1},B={0,1,2},则A∩B=
A.{0,1}
B.{0,2}
C.{1,2}
D.{0,1,2}
答案:A
2.函数y=2sinxcosx的小正周期是
A.π/2
B.π
C.2π
D.4π
答案:B
3.等差数列{an}中,若a1=2,a3=6,a7=
A.14
B.12
C.10
D.8
答案:A
4、若甲:x>1,e2>1,则()。
A.甲是乙的必要条件,但不是乙的充分条件
B.甲是乙的充分条件,但不是乙的必要条件
C.甲不是乙的充分条件,也不是乙的必要条件
D.甲是乙的充分必要条件
答案:B
5、不等式|2x-3|≤1的解集为()。
A.{x|1≤x≤3}
B.{x|x≤-1或x≥2}
C.{x|1≤x≤2}
D.{x|2≤x≤3}
答案:C
6、下列函数中,为偶函数的是()。
A.y=log2x
B.y=x2+x
C.y=6/x
D.y=x2
答案:D
7、点(2,4)关于直线y=x的对称点的坐标是()。
A.(-2,4)
B.(-2,-4)
C.(4,2)
D..(-4,-2)
答案:C
8、将一颗骰子抛掷1次,得到的点数为偶数的概率为()。
A.2/3
B.1/2
C.1/3
D.**
答案:B
9、在△ABC中,若AB=3,A=45°,C=30°,则BC=()。

答案:A
10、下列函数中,函数值恒为负值的是()。
A.y=x
B.y=-x2+1
C.y=x2
D.**
答案:D
11.过点(0,1)且与直线x+y+1=0垂直的直线方程为( )
A.y=x+1
B.y=2x+1
C.y=x
D.y=x-1
答案:A

答案:D
13.

A.8
B.14
C.12
D.10
答案:B
14.

A.-2
B.?
C.2
D.-4
答案:A

答案:B
16.某同学每次投篮投中的概率为,该同学投篮2次,只投中1次的概率为

答案:A
17.曲线y=x3-4x+2在点(1,-1)处的切线方程为( )
A.x-y-2=0
B.x-y=0
C.x=y=0
D.x=y-2=0
答案:C
二、填空题:本大题共4小题,每小题4分,共16分,把答案填在题中横线上。
18.若平面向量a=(x,1),b(1,-2),且a//b,则x=____
答案:-1/2
19.若二次函数
的小值为-1/3,则a=_____
的小值为-1/3,则a=_____
答案:3
20.某次测试中5位同学的成绩分别为79,81,85,75,80则他们成绩的平均数为________
答案:80
21.函数y=2x-2的图像与坐标轴的交点共有____个
答案:2
三、解答题:本大题共4个小题,共49分。解答应答推理、验算步骤。
22.(本小题满分12分)
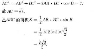
在ΔABC中,AB=2,BC=3,B=60°。求AC及ΔABC的面积。
解:由余弦定理得

23.(本小题满分12分)
已知等比例数列{an}的各项都是正数,且a1+a2=10,则a2+a3=6
(1)求{an}的通项公式;
(2){an}的前5项和。

24.(本小题满分13分)
设函数

(1)求m;
(2)求f(x)的单调区间;

25.(本小题满分12分)

